Science & Technology

Nature Communications: Continental shelf removal as a key sink for modern oceanic rhenium and uranium

Redox sensitive metals, rhenium (Re) and uranium (U), are not only essential resource metals but also important proxies for understanding the redox evolution of past oceans. Therefore, accurately understanding the fluxes and distribution of Re and U sources and sinks in the modern ocean holds significant scientific value. However, whether dissolved Re and U in the modern ocean are in source-sink equilibrium remains one of the mysteries of marine chemistry.

Shelf sediments (depth <200 meters) are the main avenue of organic carbon burial and hotspots for organic carbon mineralization. The abundant input of organic matter leads to rapid consumption of oxygen in pore water of shelf sediments, resulting in anoxic conditions. This, in turn, causes dissolved Re and U in pore water to be removed and reduced into sediments as electron acceptors, constituting a sink for marine Re and U. However, the importance of continental shelves in past source-sink studies has not been quantitatively evaluated.

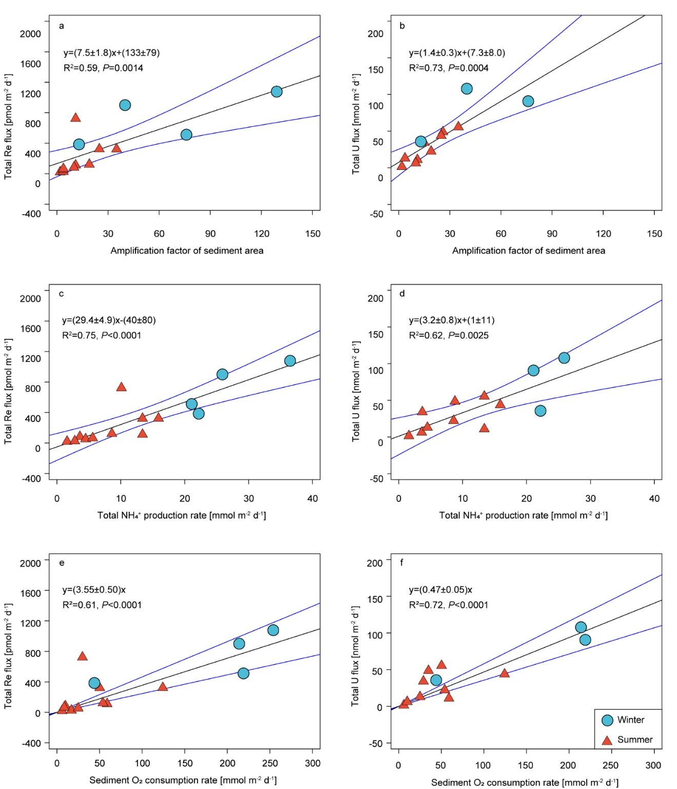
In this study, the authors combined measurements of Re and U concentrations in sediment pore water with 224Ra/228Th disequilibrium to quantitatively investigate the fluxes of Re and U removal in sediments of the Yangtze River estuary and its adjacent East China Sea shelf. The data indicate that the dynamic conditions at the sediment-water interface (such as irrigation) are the primary factors controlling the magnitude of Re and U removal fluxes from seawater in shelf sediments. Furthermore, there is a significant positive correlation between the fluxes of Re and U removal in shelf sediments and the rates of anaerobic decomposition of organic matter and sediment oxygen consumption rates. Based on global ocean sediment oxygen consumption rate data, this study further estimated the total fluxes of Re and U removal in global shelf sediments and their impact on the global patterns of Re and U sources and sinks. The results reveal that shelf sediments are the primary sink for global oceanic Re and U, with total removal fluxes comparable to (for Re) or up to four times higher (for U) than those of beyond-shelf marine sediments. Therefore, dissolved Re and U in the modern ocean may not be in source-sink balance, or existing studies may have significantly underestimated the input fluxes of Re and U. This finding also provides a new explanation for the source-sink balance of modern oceanic δ238U.

The paper further discusses possible reasons for the imbalance of Re and U sources and sinks in the modern ocean: 1) the lack of consideration for the desorption/dissolution of Re and U carried by particulate matter in river inputs at river mouths; 2) the inadequate evaluation of retention/addition effects in nearshore blue carbon ecosystems; and 3) the changes in the sink of shelf sediments during glacial-interglacial periods, where a decrease in shelf area, reduced organic carbon inputs, and strengthening of upper ocean oxidation may lead to a decrease in the reductive sink for Re and U in glacial shelf sediments. Therefore, the results of this study are of great significance for the biogeochemical cycle of Re and U and their applications in paleoceanography.

The above research findings were recently published in Nature Communications. Professor Tianyu Chen from Nanjing University is the corresponding author of the paper, and Qingquan Hong, a postdoctoral fellow in the research group, is the first author. Collaborators include Professor Pinghe Cai from Xiamen University and Professor Jianfeng Gao from the Institute of Geochemistry, Chinese Academy of Sciences. This research was supported by the Western Pacific Major Research Plan of National Natural Science Foundation of China and the Frontiers Science Center for Critical Earth Material Cycling of Ministry of Education.

Figure 1. Correlation between shelf sediment Re and U fluxes and coefficients of sediment irrigation (a, b), anaerobic organic carbon decomposition rates (c, d), and sediment oxygen consumption rates (e, f).

Figure 2. Comparison of modern oceanic dissolved Re and U source-sink fluxes.


Citation: Hong Q., Cheng Y., Qu Y., Wei L., Liu Y., Gao J., Cai P., Chen T.*, 2024. Overlooked shelf sediment reductive sinks of dissolved rhenium and uranium in the modern ocean. Nature Communications 15, 3966. https://www.nature.com/articles/s41467-024-48297-y.


Source:  School of Earth Science and Engineerings and Engineering

Writer: Chen Tianyu, Tang Chaosheng

Correspondent: Wu Yiwen